Poți să îi minți pe puțini de multe ori. Poți să îi minți pe mulți de puține ori. Dar niciodată nu poți să îi minți pe mulți de multe ori. Așa spunea cineva și exact la asta mă gândesc acum când constat că singurul care mai poate fi mințit aproape de fiecare dată, este chiar Președintele României.
Cine îl minte pe Președinte? Cam toată lumea în ultima perioadă, dar mai grav este faptul că dânsul se minte singur. Și întrucât are o imagine distorsionată a realității economice, autominciuna conduce la distorsiuni și mai grave. Cea mai recentă auto-minciună a Președintelui se referă la finanțarea statului Român.
Am renunțat o perioadă să mai analizez declarațiile economice ale Președintelui. Am renunțat pentru că am avut senzația că dânsul se încăpățânează să nu învețe din propriile greșeli, cu efecte grave asupra economiei Românești. Și totuși, cea mai recentă ieșire a Președintelui (la TVR), îmi demonstrează că de la a îi minți pe alții (”această criză nu ne va atinge, nimeni nu va avea salariile tăiate de la 1 ianuarie, TVA-ul nu va crește”), a ajuns să se mintă singur.
Testul Băsescu. Am urmărit pe web-site-ul TVR-ului interviul acordat de Președintele României lui Luca Niculescu în data de 18 noiembrie. Și ce am văzut? Că Președintele supune România la teste aranjate. Detaliile imediat, dar până atunci, vă semnalez o anomalie majoră :
În România, de gestiunea datoriei publice nu se mai ocupă Ministerul de Finanțe, trezoreria și Banca Națională. Se ocupă Traian Băsescu. Dovadă că dânsul a anunțat în data de 18 noiembrie 2010, la ora 21.00 faptul că România lansează o emisiune de titluri de stat în valută. Anuntul ministerului de finanțe a venit 24 de ore mai târziu, în 19 noiembrie și suna așa: ” În data de 25 noiembrie 2010, Ministerul Finanţelor Publice va lansa pe piaţa internă, prin procedura de licitaţie, o emisiune de obligaţiuni de stat cu o valoare anunţată de 1 mld. Euro, cu o maturitate de 3 ani şi rata cuponului de 4.5% p.a. Sumele atrase vor fi utilizate pentru finanţarea deficitului bugetar şi refinanţarea datoriei publice”. Adică exact ce anunța Președintele Țării, cu 24 de ore înainte.
Președintele a și nuanțat, cu o zi înainte : ”Eu vă pot spune cum mi l-aș dori: Mi l-aș dori sub 5% dobândă, mi l-aș dori pe 3 ani, mi l-aș dori suprasubscris. Cerem un miliard și să avem ofertă de un miliard și jumătate”.
Acum, eu nu zic că ministerul de finanțe face caietul de sarcini după dorința Președintelui Țării. Deși așa pare. Cred mai degrabă că Președintele a vorbit înaintea ministerului de finanțe, ce a auzit și dânsul pe la diverse mese, și, așa cum ați văzut în relațiile diplomatice pe care le are cu Președintele Sarkozy și cu premierul Berlusconi, se bagă în seamă. Nu zic neapărat că este rău, pentru că, în comparație cu al treilea ministru consecutiv de finanţe ales de domnia sa, Președintele Băsescu este de-a dreptul ”litterate” din punct de vedere economic. Este însă total neobișnuit pentru o țară europeană. Nu însă și pentru România, unde președintele este, începând cu anul 2009 și prim-ministru, și ministru de finanțe, și guvernator al BNR (țineți minte anunțata reducere a rezervelor minime obligatorii, anunț făcut de Băsescu în fața transportatorilor?)
Și totuși, care este testul Băsescu? L-a dezvăluit chiar domnia sa:
”Dacă noi vom reuși să luăm acest credit, undeva în 24-25 noiembrie – trebuie să îl luăm din piață. Sub 5 procente înseamnă recunoașterea de către piață a măsurilor pe care statul român le-a luat. Îmi doresc să fie acela momentul adevărului, pentru că dacă acum, la sfârșit de program, noi reușim să angajăm un credit, și nu pe un an cum a fost acest an, ci pentru 3 ani, cu dobândă de sub 5%, înseamnă că România, din punct de vedere credibilitate, pleacă pe o pantă favorabilă”.
Cu toată stima domnule Președinte, este fals ceea ce afirmați dumneavoastră. E vorba doar de o oportunitate a băncilor de a încasa triplu decât alternativa. Este chiar o dovadă a lipsei de credibilitate şi nu a întăririi ei.
În primul rând, de unde vine miliardul? Este foarte simplu: vorbim de un alt miliard ajuns la scadență și pe care statul în refinanțează.
În al doilea rând, de unde a provenit acel miliard? Vă aduceți aminte, anul trecut, cele două reduceri de rezervă minimă obligatorie, dintre care una excepțională (într-o ședință a Consiliului de Administrație BNR – extraordinară, adică înainte de termen domnule Președinte)? Cele două reduceri de rezervă minimă obligatorie au reprezentat ”club-loan-uri”. Detaliile primului miliard, atras în iulie 2009, le găsiți aici.
Detaliile altor 447 de milioane de EURO, emise în august 2009 pentru o scadență de 4 ani (19 august 2013) și cupon (dobândă) de 5,25% pe an le găsiți aici.
Detaliile altor 1,4 miliarde de EURO, emise în 30 noiembrie 2009, cu scadența la 1 an (29 noiembrie 2010) și cupon(dobândă) de 4,25% pe an le găsiți aici .
Acum, despre ce miliard vorbește președintele Băsescu? Vorbește fix despre cele 1,4 miliarde, emise pe termen de un an, în 30 noiembrie 2009 și care lunea viitoare trebuie plăite. Cui? Băncilor comerciale din România. Cum așa? Este simplu. De unde au provenit acele 1400 de milioane de EURO plasate în titlurile de stat ale ministerului de finanțe, în noiembrie 2009?
Uite de aici!
” În data de 16 noiembrie 2009, Consiliul de administraţie al Băncii Naţionale a României s-a întrunit într-o şedinţă specială pentru a analiza implicaţiile bugetare, monetare şi financiare ale decalării calendarului împrumuturilor externe prevăzut pentru trimestrul IV a.c. în cadrul aranjamentului multilateral încheiat de România cu Uniunea Europeană, Fondul Monetar Internaţional şi alte instituţii financiare internaţionale.
În contextul amânării intrărilor programate de fonduri externe, acoperirea din resurse ale pieţei interne a necesarului de finanţare a sectorului guvernamental în ultima parte a anului curent concomitent cu păstrarea echilibrelor macroeconomice impune adecvarea condiţiilor de finanţare din sistemul bancar autohton.
Prin urmare, CA al BNR a hotărât reducerea nivelului ratei rezervelor minime obligatorii aplicabile pasivelor în valută, cu scadenţe reziduale de sub doi ani, ale instituţiilor de credit, de la 30 la sută la 25 la sută începând cu perioada de aplicare 24 noiembrie-23 decembrie 2009.”
Adică BNR, confruntată în noiembrie 2009 cu incapacitatea ministerului de finanțe de a continua acordul cu FMI, a bagat un cartuș pe țeava ministerului. A redus, cu dedicație, rezervele minime obligatorii, de la 30% la 25%. Diferența de 5 puncte procentuale, aruncată practic în piață, reprezenta echivalentul a circa 1,4 miliarde de EURO. Adică, surpriză! Exact atât cât a atras ministerul de finanțe în emisiunea din 30 noiembrie 2009 care ajunge la scadență luni, 29 noiembrie 2010.
De ce au plasat atunci băncile comerciale bani la trezorerie? Este extrem de simplu. Rezervele minime obligatorii erau bonificate mizerabil de către BNR (aproape de 2% pe an, dar sub 2%, în condițiile în care, spre exemplu, BNR plasează acum rezerva valutară inclusiv la randamente mai mici de 1% pe an). Prin urmare, băncile au primit pentru aceiași bani, dublu până la triplu ca randament, doar mutându-i din pix, temporar, din contul de la BNR în cel al ministerului de finanțe şi înapoi la BNR. Să obții peste noapte randamente aproape triple pentru aceiași bani este un lucru pe care nici o bancă din România sau de oriunde nu îl refuză.
Același lucru se va întâmpla și acum. Din trei motive:
a) Emisiunea de titluri de stat scadentă luni va ajunge în piață. Este evident că băncile din România nu au acum un client mai sigur decât statul român, căruia să îi plaseze la 4,5% (BNR le oferă le rezerva minimă obligatorie undeva la 1%).
b) România este încă în acordul cu FMI. Ceea ce presupune că băncile își respectă angajamentul de a nu-și diminua expunerea pe România. Adică, chiar dacă ar vrea, băncile nu ar putea să plaseze banii în altă parte decât fie în credite pentru persoane fizice și juridice din România (nu e cazul), fie la ministerul de finanțe. Evident că vor prefera ministerul de finanțe.
c) BNR poate oricând să mai reducă rezervele minime obligatorii cu 5 puncte procentuale. Adică alt miliard în piață, căruia băncile vor trebui să îi găsească un randament mai bun de 1%. Cum să nu iubească un 4,5% oferit de ministerul de finanțe?
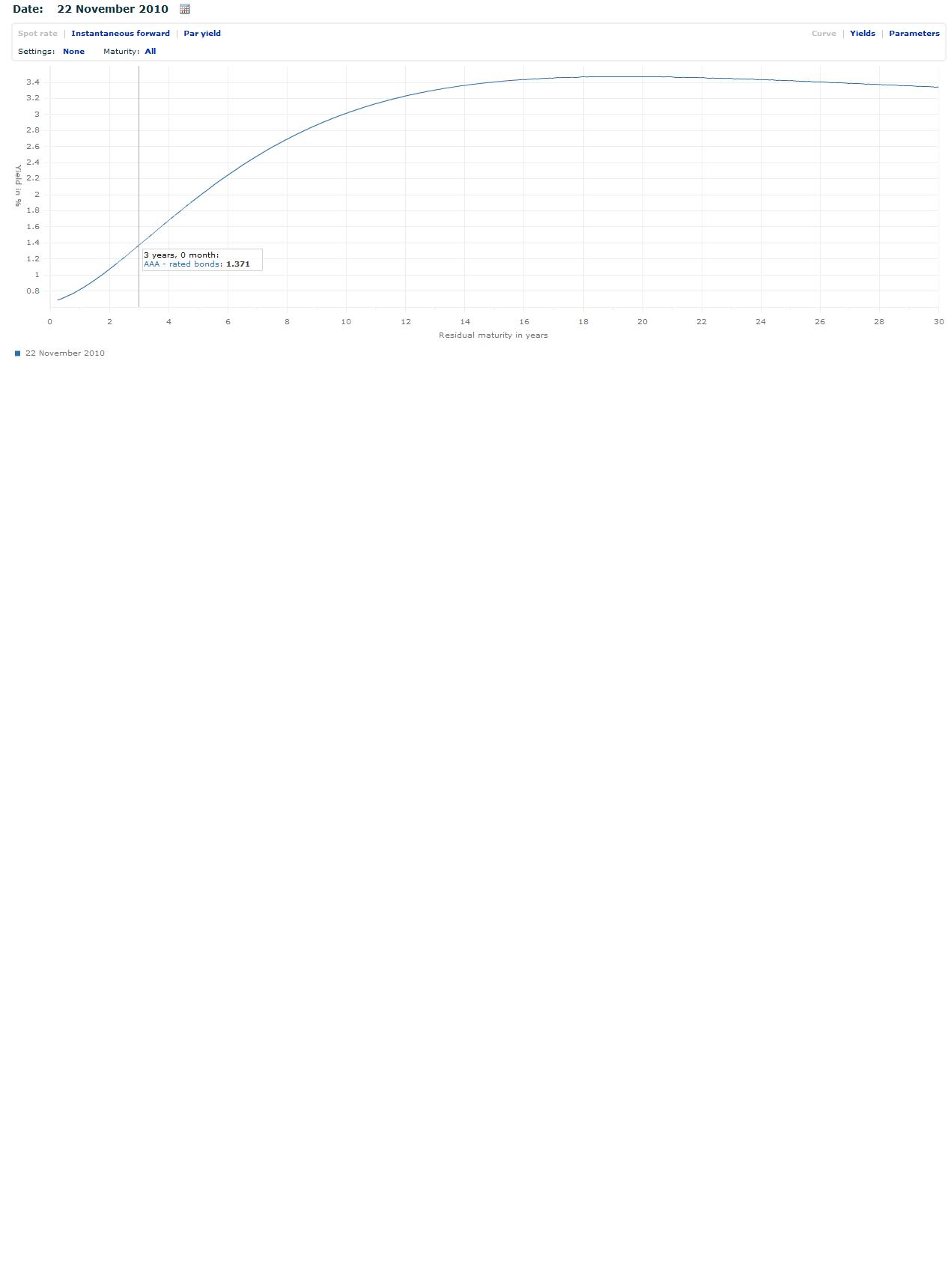
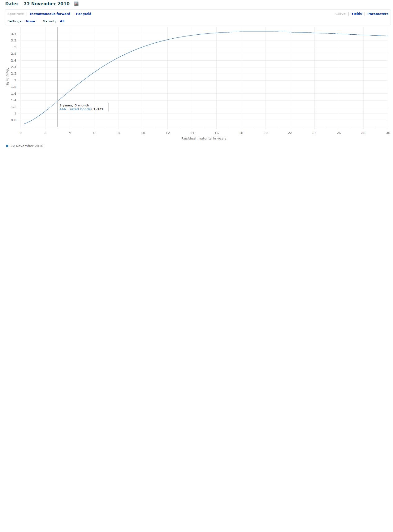
Prin urmare, acestea sunt 3 motive care arată că în fapt, decizia băncilor care acţionează în România de a rostogoli împrumutul către statul român, la dobânzi între 4 şi 5% (în condiţiile în care plasarea în titluri denominate în Euro le asigură randamente de 1-2%) este singura raţională. Mai exact, plasamentul în titluri de stat AAA pentru o perioadă de 3 ani oferea randament de 1,37% în sedinta de ieri. Cum să nu iubeşti un plasament de 3 ori mai rentabil la statul român având garanţia FMI şi Comisiei Europene?
Concluzia este că orice bancă care nu este tâmpită va rostogoli împrumutul de 1,4 miliarde de EURO, pentru un preţ cuprins între 4 şi 5% pe an (comparativ cu 1,37% în statele stabile ale UE).
Ăsta nu este un semn de încredere în economia românească cum greşit îl interpretează Traian Băsescu, ci dorinţa de maximizare a profitului băncilor, în condiţii de mega-garanţii (acordul cu FMI care va fi reînnoit, datoria publică încă mică a României, etc) şi de vulnerabilitate a României. Prin urmare, nici un semn de normalitate sau încredere. Ci un semn al faptului că băncile sunt oportuniste din punct de vedere al profitului. Iar modul în care Traian Băsescu&Co au condus şi adus ţara permite menţinerea banilor în România doar dacă peste noapte statul român plăteşte triplu. Încredere? Vax albina domnule Preşedinte.
Încetaţi să vă mai păcăliţi singur. Că destul vă păcălesc alţii. Nu este vorba de încredere, ci de vulnerabilitate. Nu este vorba de un preţ bun, ci de un preţ triplu pentru aceiaşi bani. Şi, apropos, ce veţi face cu miliardul ăsta? Ceva salarii? Ceva pensii? Ceva patinoare de 20 de milioanede Euro bucata?
Categorii:Stiri
sa inteleg ca atunci cand acordul cu FMI nu va mai fi in vigoare , bancile straine isi vor repatria o mare parte din bani din romania ? e cam grav , totusi sa se intample asa ceva !